Jie_Wen IMVC Mark -AS 21:11 11.18 2024
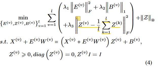
Object Function
Method

基于张量的子空间学习方法, 实现了 一个 框架齐全的,张量学习,填充误差学习,稀疏误差补偿,核范数,一致性学习的 优化模型
Focus
- 图重建误差
- 图稀疏性约束
- 张量核范数低秩学习
Innovation
- 提出一致性学习
- 稀疏噪声补偿
Idea
- 优化过程可以参考
- 框架比较优秀
解决一致性但是缺乏多样性
Jie_Wen IMVC Mark -AS 21:11 11.18 2024

基于张量的子空间学习方法, 实现了 一个 框架齐全的,张量学习,填充误差学习,稀疏误差补偿,核范数,一致性学习的 优化模型
解决一致性但是缺乏多样性