Jie_Wen IMVC

Mark -AS 08:55 11.18 2024

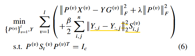
Object Function

Method

5E0B7615-F157-4D8B-A718-BF3EE8F79735#pic_center

基于矩阵分解

实现了一个 结合 子空间学习近邻结构学习 的高效模型

Focus

数据的不同维度

结构化的图学习

Innovation

  • 结合矩阵,图学习,子空间学习
  • 使用投影将数据降维到子空间再用矩阵分解学习,高效且合理

Idea

  • 投影策略
  • 知识迁移
  • 可借鉴的图结构学习块