Mark -AS 23:03 11.17 2024
Object Function
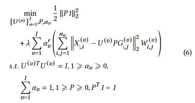
Method

基于非负矩阵分解,参考 OPIMVC 和 GRPMVC
提出一个包含 软标签 一步聚类,最近邻图结构学习,视图自适应加权和一步聚类矩阵正则化避免无意义解(平衡项)的 集成模型 LBIMVC
Focus
以往聚类通过 K-means 的弊端,实现在模型中直接聚类
解决OPIMVC中一步聚类的额外约束问题,保证聚类矩阵优化的合理性
引用W矩阵,将最近邻图结构学习和不完全多视图共识表示学习集中在一个框架里
Innovation
- 实现软标签聚类
- 平衡项的提出与Lasso回归求解
- W矩阵结合两个框架
Idea
- 最近邻学习参考
- HeatKernel 构造最近邻矩阵
- 一步聚类参考
为什么不在做视图融合的时候再做一步聚类呢?