Mark -AS 16:47 11.18 2024
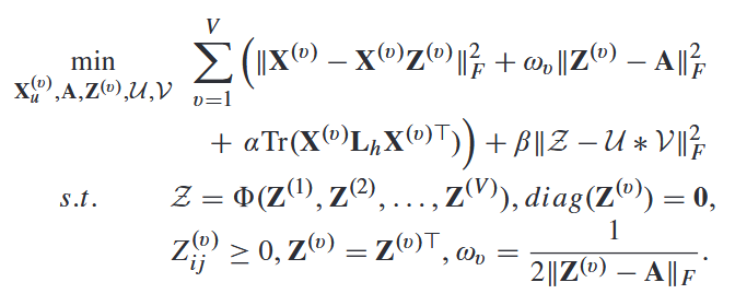
Object Function
Method

基于子空间学习
实现了 张量分解低秩约束,超图缺失视图推断,图学习 于一体的模型
Focus
- 不完全视图的填充
- 数据间高阶的相关性(超图,张量)
Innovation
- 超图的应用,解决了不完整数据的补充精度问题
- 张量低秩约束用两个小尺寸的张量来约束
Idea
- 超图没太懂,可以看看文章
- 张量的约束可以学学
Mark -AS 16:47 11.18 2024

基于子空间学习
实现了 张量分解低秩约束,超图缺失视图推断,图学习 于一体的模型