步骤
- 载入数据集
- 定义初始化函数
- 定义按索引获取函数
- 定义返回尺寸函数
- 定义model
- 初始化函数
- 调用父类构造函数
- 定义
self.layers=nn.Sequential()模型结构 - 定义前面传播函数
- 初始化函数
- 定义特征获取函数
- 选择特征或默认全部特征
- Trianer函数
- 定义损失函数criterion
- 定义优化器optimizer
- tensorboard
- 训练epochs循环,内嵌每个批次训练循环
- 同时内嵌验证循环
- 输出数据,保存最佳,提前停止判断
- 定义超参数
- 数据可视化(其实可以在前面)
- 数据划分
- 训练
- 测试
图像
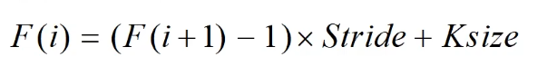
感受野与卷积尺寸计算
感受野
- 前向公式

- 后向公式
